[导读]认知是一种傅里叶变换吗?为什么不是?为什么是?
认知是一种傅里叶变换吗?为什么不是?为什么是?
人类认识事物,生成规则,其实是通过“概念”(知识)和直觉(关系)来的,“概念”(知识)是一个浓缩的信息载体, 通过它我们能够进行更复杂直觉(关系)的推理,如同时域到频域的傅里叶变换。另外,人类的学习不是单纯数学上的卷积,还有心理学上的卷积,能够形成范围不确定的隐性知识和关系。

傅立叶变换,表示能将满足一定条件的某个函数表示成三角函数(正弦和/或余弦函数)或者它们的积分的线性组合。在不同的研究领域,傅立叶变换具有多种不同的变体形式,如连续傅立叶变换和离散傅立叶变换。最初傅立叶分析是作为热过程的解析分析的工具被提出的。
傅立叶变换是一种分析信号的方法,它可分析信号的成分,也可用这些成分合成信号。许多波形可作为信号的成分,比如正弦波、方波、锯齿波等,傅立叶变换用正弦波作为信号的成分。
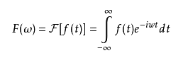
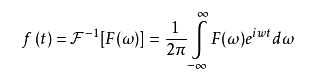
f(t)是t的周期函数,如果t满足狄里赫莱条件:在一个以2T为周期内f(X)连续或只有有限个第一类间断点,附f(x)单调或可划分成有限个单调区间,则F(x)以2T为周期的傅里叶级数收敛,和函数S(x)也是以2T为周期的周期函数,且在这些间断点上,函数是有限值;在一个周期内具有有限个极值点;绝对可积。则有下图①式成立。称为积分运算f(t)的傅立叶变换,②式的积分运算叫做F(ω)的傅立叶逆变换。F(ω)叫做f(t)的像函数,f(t)叫做F(ω)的像原函数。F(ω)是f(t)的像。f(t)是F(ω)原像。
①傅立叶变换

②傅立叶逆变换

傅里叶变换在物理学、电子类学科、数论、组合数学、信号处理、概率论、统计学、密码学、声学、光学、海洋学、结构动力学等领域都有着广泛的应用(例如在信号处理中,傅里叶变换的典型用途是将信号分解成频率谱——显示与频率对应的幅值大小)。
* 傅里叶变换属于谐波分析。
* 傅里叶变换的逆变换容易求出,而且形式与正变换非常类似;
*正弦基函数是微分运算的本征函数,从而使得线性微分方程的求解可以转化为常系数的代数方程的求解.在线性时不变的物理系统内,频率是个不变的性质,从而系统对于复杂激励的响应可以通过组合其对不同频率正弦信号的响应来获取;
*卷积定理指出:傅里叶变换可以化复杂的卷积运算为简单的乘积运算,从而提供了计算卷积的一种简单手段;
*离散形式的傅立叶变换可以利用数字计算机快速地算出(其算法称为快速傅里叶变换算法(FFT)).
傅里叶是一位法国数学家和物理学家的名字,英语原名是Jean Baptiste Joseph Fourier(1768-1830), Fourier对热传递很感兴趣,于1807年在法国科学学会上发表了一篇论文,运用正弦曲线来描述温度分布,论文里有个在当时具有争议性的决断:任何连续周期信号可以由一组适当的正弦曲线组合而成。当时审查这个论文的人,其中有两位是历史上著名的数学家拉格朗日(Joseph Louis Lagrange, 1736-1813)和拉普拉斯(Pierre Simon de Laplace, 1749-1827),当拉普拉斯和其它审查者投票通过并要发表这个论文时,拉格朗日坚决反对,在他此后生命的六年中,拉格朗日坚持认为傅里叶的方法无法表示带有棱角的信号,如在方波中出现非连续变化斜率。法国科学学会屈服于拉格朗日的威望,拒绝了傅里叶的工作,幸运的是,傅里叶还有其它事情可忙,他参加了政治运动,随拿破仑远征埃及,法国大革命后因会被推上断头台而一直在逃避。直到拉格朗日死后15年这个论文才被发表出来。
拉格朗日是对的:正弦曲线无法组合成一个带有棱角的信号。但是,我们可以用正弦曲线来非常逼近地表示它,逼近到两种表示方法不存在能量差别,基于此,傅里叶是对的。
用正弦曲线来代替原来的曲线而不用方波或三角波来表示的原因在于,分解信号的方法是无穷的,但分解信号的目的是为了更加简单地处理原来的信号。用正余弦来表示原信号会更加简单,因为正余弦拥有原信号所不具有的性质:正弦曲线保真度。一个正弦曲线信号输入后,输出的仍是正弦曲线,只有幅度和相位可能发生变化,但是频率和波的形状仍是一样的。且只有正弦曲线才拥有这样的性质,正因如此我们才不用方波或三角波来表示。
为什么偏偏选择三角函数而不用其他函数进行分解?我们从物理系统的特征信号角度来解释。我们知道:大自然中很多现象可以抽象成一个线性时不变系统来研究,无论你用微分方程还是传递函数或者状态空间描述。线性时不变系统可以这样理解:输入输出信号满足线性关系,而且系统参数不随时间变换。对于大自然界的很多系统,一个正弦曲线信号输入后,输出的仍是正弦曲线,只有幅度和相位可能发生变化,但是频率和波的形状仍是一样的。也就是说正弦信号是系统的特征向量!当然,指数信号也是系统的特征向量,表示能量的衰减或积聚。自然界的衰减或者扩散现象大多是指数形式的,或者既有波动又有指数衰减(复指数形式),因此具有特征的基函数就由三角函数变成复指数函数。但是,如果输入是方波、三角波或者其他什么波形,那输出就不一定是什么样子了。所以,除了指数信号和正弦信号以外的其他波形都不是线性系统的特征信号。
![W$P`O`]T$XO`@X)J[)}R7TX.png W$P`O`]T$XO`@X)J[)}R7TX.png](https://img.qjsmartech.com/ueditor/net/../../UploadFiles/ue_upload/image/20190313/112728385650.png)
用正弦曲线来代替原来的曲线而不用方波或三角波或者其他什么函数来表示的原因在于:正弦信号恰好是很多线性时不变系统的特征向量。于是就有了傅里叶变换。对于更一般的线性时不变系统,复指数信号(表示耗散或衰减)是系统的“特征向量”。于是就有了拉普拉斯变换。z变换也是同样的道理,这时是离散系统的“特征向量”。这里没有区分特征函数和特征向量的概念,主要想表达二者的思想是相同的,只不过一个是有限维向量,一个是无限维函数。
傅里叶级数和傅里叶变换其实就是我们之前讨论的特征值与特征向量的问题。分解信号的方法是无穷的,但分解信号的目的是为了更加简单地处理原来的信号。这样,用正余弦来表示原信号会更加简单,因为正余弦拥有原信号所不具有的性质:正弦曲线保真度。且只有正弦曲线才拥有这样的性质。
这也解释了为什么我们一碰到信号就想方设法的把它表示成正弦量或者复指数量的形式;为什么方波或者三角波如此“简单”,我们非要展开的如此“麻烦”;为什么对于一个没有什么规律的“非周期”信号,我们都绞尽脑汁的用正弦量展开。就因为正弦量(或复指数)是特征向量。
什么是时域?从我们出生,我们看到的世界都以时间贯穿,股票的走势、人的身高、汽车的轨迹都会随着时间发生改变。这种以时间作为参照来观察动态世界的方法我们称其为时域分析。而我们也想当然的认为,世间万物都在随着时间不停的改变,并且永远不会静止下来。
什么是频域?频域(frequency domain)是描述信号在频率方面特性时用到的一种坐标系。用线性代数的语言就是装着正弦函数的空间。频域最重要的性质是:它不是真实的,而是一个数学构造。频域是一个遵循特定规则的数学范畴。正弦波是频域中唯一存在的波形,这是频域中最重要的规则,即正弦波是对频域的描述,因为时域中的任何波形都可用正弦波合成。
对于一个信号来说,信号强度随时间的变化规律就是时域特性,信号是由哪些单一频率的信号合成的就是频域特性。
时域分析与频域分析是对信号的两个观察面。时域分析是以时间轴为坐标表示动态信号的关系;频域分析是把信号变为以频率轴为坐标表示出来。一般来说,时域的表示较为形象与直观,频域分析则更为简练,剖析问题更为深刻和方便。目前,信号分析的趋势是从时域向频域发展。然而,它们是互相联系,缺一不可,相辅相成的。贯穿时域与频域的方法之一,就是传说中的傅里叶分析。傅里叶分析可分为傅里叶级数(Fourier Serie)和傅里叶变换(Fourier Transformation)。
根据原信号的不同类型,我们可以把傅里叶变换分为四种类别:
1非周期性连续信号傅里叶变换(Fourier Transform)
2周期性连续信号傅里叶级数(Fourier Series)
3非周期性离散信号离散时域傅里叶变换(Discrete Time Fourier Transform)
4周期性离散信号离散傅里叶变换(Discrete Fourier Transform)
下图是四种原信号图例:

这四种傅里叶变换都是针对正无穷大和负无穷大的信号,即信号的的长度是无穷大的,我们知道这对于计算机处理来说是不可能的,那么有没有针对长度有限的傅里叶变换呢?没有。因为正余弦波被定义成从负无穷大到正无穷大,我们无法把一个长度无限的信号组合成长度有限的信号。面对这种困难,方法是把长度有限的信号表示成长度无限的信号,可以把信号无限地从左右进行延伸,延伸的部分用零来表示,这样,这个信号就可以被看成是非周期性离解信号,我们就可以用到离散时域傅里叶变换的方法。还有,也可以把信号用复制的方法进行延伸,这样信号就变成了周期性离散信号,这时我们就可以用离散傅里叶变换方法进行变换。这里我们要学的是离散信号,对于连续信号我们不作讨论,因为计算机只能处理离散的数值信号,我们的最终目的是运用计算机来处理信号的。
但是对于非周期性的信号,我们需要用无穷多不同频率的正弦曲线来表示,这对于计算机来说是不可能实现的。所以对于离散信号的变换只有离散傅里叶变换(DFT)才能被适用,对于计算机来说只有离散的和有限长度的数据才能被处理,对于其它的变换类型只有在数学演算中才能用到,在计算机面前我们只能用DFT方法,后面我们要理解的也正是DFT方法。这里要理解的是我们使用周期性的信号目的是为了能够用数学方法来解决问题,至于考虑周期性信号是从哪里得到或怎样得到是无意义的。
每种傅里叶变换都分成实数和复数两种方法,对于实数方法是最好理解的,但是复数方法就相对复杂许多了,需要懂得有关复数的理论知识,不过,如果理解了实数离散傅里叶变换(real DFT),再去理解复数傅里叶就更容易了,所以我们先把复数的傅里叶放到一边去,先来理解实数傅里叶变换,在后面我们会先讲讲关于复数的基本理论,然后在理解了实数傅里叶变换的基础上再来理解复数傅里叶变换。

如上图所示,实信号四种变换在时域和频域的表现形式。
还有,这里我们所要说的变换(transform)虽然是数学意义上的变换,但跟函数变换是不同的,函数变换是符合一一映射准则的,对于离散数字信号处理(DSP),有许多的变换:傅里叶变换、拉普拉斯变换、Z变换、希尔伯特变换、离散余弦变换等,这些都扩展了函数变换的定义,允许输入和输出有多种的值,简单地说变换就是把一堆的数据变成另一堆的数据的方法。
傅里叶变换是数字信号处理领域一种很重要的算法。要知道傅里叶变换算法的意义,首先要了解傅里叶原理的意义。傅里叶原理表明:任何连续测量的时序或信号,都可以表示为不同频率的正弦波信号的无限叠加。而根据该原理创立的傅里叶变换算法利用直接测量到的原始信号,以累加方式来计算该信号中不同正弦波信号的频率、振幅和相位。
和傅里叶变换算法对应的是反傅里叶变换算法。该反变换从本质上说也是一种累加处理,这样就可以将单独改变的正弦波信号转换成一个信号。因此,可以说,傅里叶变换将原来难以处理的时域信号转换成了易于分析的频域信号(信号的频谱),可以利用一些工具对这些频域信号进行处理、加工。最后还可以利用傅里叶反变换将这些频域信号转换成时域信号。
从现代数学的眼光来看,傅里叶变换是一种特殊的积分变换。它能将满足一定条件的某个函数表示成正弦基函数的线性组合或者积分。在不同的研究领域,傅里叶变换具有多种不同的变体形式,如连续傅里叶变换和离散傅里叶变换。
在数学领域,尽管最初傅里叶分析是作为热过程的解析分析的工具,但是其思想方法仍然具有典型的还原论和分析主义的特征。"任意"的函数通过一定的分解,都能够表示为正弦函数的线性组合的形式,而正弦函数在物理上是被充分研究而相对简单的函数类:1. 傅里叶变换是线性算子,若赋予适当的范数,它还是酉算子;2. 傅里叶变换的逆变换容易求出,而且形式与正变换非常类似;3. 正弦基函数是微分运算的本征函数,从而使得线性微分方程的求解可以转化为常系数的代数方程的求解.在线性时不变杂的卷积运算为简单的乘积运算,从而提供了计算卷积的一种简单手段;4. 离散形式的傅里叶的物理系统内,频率是个不变的性质,从而系统对于复杂激励的响应可以通过组合其对不同频率正弦信号的响应来获取;5. 著名的卷积定理指出:傅里叶变换可以化复变换可以利用数字计算机快速的算出(其算法称为快速傅里叶变换算法(FFT))。
正是由于上述的良好性质,傅里叶变换在物理学、数论、组合数学、信号处理、概率、统计、密码学、声学、光学等领域都有着广泛的应用。
评论文章